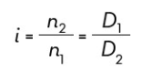
Si anomenem n1 i n2 les freqüències de rotació de la politja motriu i conduïda, respectivament, i D1 i D2 els seus diàmetres, la relació de transmissió (i) la podem calcular fent servir l’expressió:


En funció dels diàmetres i de la disposició de les corretges, amb dues politges podem tenir diferents acoblaments:


Per resoldre els problemes de mecanismes de transmissió de moviment amb politges i corretges, cal procedir de la següent manera:

1.Identificar la roda motriu i la roda conduïda.

2.Establir la relació de transmissió segons l’expressió matemàtica adequada:

i = n2/n1 =D1/D2.

3.Identificar quines dades tenim: freqüències de rotació i/o diàmetres de les rodes.

4.Tenir en compte quines unitats estem utilitzant.




Darrera modificació: dilluns, 6 de febrer 2023, 10:37